- ニュース
- 鳥居祥二教授ら 国際宇宙ステーションの「きぼう」で行われた実験成果で2018 ISS Award for Compelling Resultsを受賞
鳥居祥二教授ら 国際宇宙ステーションの「きぼう」で行われた実験成果で2018 ISS Award for Compelling Resultsを受賞
- Posted
- Mon, 30 Jul 2018
ISS R&D Conferenceにおいて、国際宇宙ステーション(ISS)の「きぼう」船外実験装置である高エネルギー電子・ガンマ線観測装置(CALorimetric Electron Telescope:CALET)での実験成果が評価され、理工学術院の鳥居祥二教授(CALET研究代表者)、CALET開発チーム(JAXA、NASA、ASI)、CALET国際サイエンスチームが、2018 ISS Award for Compelling Resultsを受賞しました。
“ISS Research Awards”は、イノベーションの創出や顕著な成果等、国際宇宙ステーション(ISS)で素晴らしい成果を上げた研究を選定し、表彰するものです。米国のAAS(American Astronautical Society)が、NASAやCASIS(The Center for the Advancement of Science in Space:米国のNPO法人)や各国際パートナーからノミネートされた候補より選び、毎年米国で開催されるISS R&D Conference(NASA、AAS、CASISが主催するISSの様々な活動を紹介するイベント)の中で表彰しています。2013年から毎年行われ、2017年までに計48件が表彰されています。2018年は鳥居教授らの成果を含め、計7件が新たに選ばれました。
受賞案件
Compelling Results in Physical Sciences and Materials Development
受賞者
鳥居祥二氏(早稲田大学)、CALET開発チーム(JAXA、NASA、ASI)、CALET・国際サイエンスチーム(Waseda University/Louisiana State University/University of Siena and INFN)
受賞理由
国際協力によるISS利用成果創出(現地情報より、JAXAがまとめたもの)
<解説>
日米のみならず、イタリアを含む国際協力で、ISSから他では得られない高精度なデータを取得し、宇宙物理学の発展に大きく貢献したことが評価され受賞しました。
<参考>
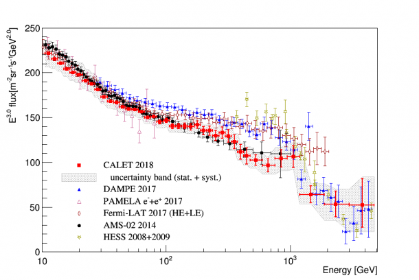
2年間のデータ蓄積により観測領域を拡張。4.8テラ電子ボルトまでの高精度電子識別に成功
鳥居祥二教授のコメント

この度、ISSの「きぼう」船外実験装置である高エネルギー電子・ガンマ線観測装置(CALorimetric Electron Telescope:CALET)が、アメリカ宇宙航空学会のISS R&D会合において、”2018 ISS Award for Compelling Results”を頂くことになり、大変光栄に存じております。
これまでCALETの開発および運用を支えてくださったJAXAおよび関連企業の皆様、そしてイタリアおよびアメリカの関係の皆様にお礼を申し上げたいと思います。 今後も、世界中の研究者にCALETの高精度なデータを提供しつつ、多くの科学的成果を創出し続けられるよう、引き続きCALET研究者チーム一同、邁進して参りたいと思います。